| マテックス建材株式会社 | 
|  |  |  |  | ||||
| Home > AE検査・計測サービス > 建設・土木分野のAE試験 > 斜面 | |||||
| 
 | ||||||||||||||||||||||||||||||||||||||||||||||||||||||||||||||||||||||||||||||||||||||||||
| ◆ AEによる岩盤斜面破壊の評価1) | ||||||||||||||||||||||||||||||||||||||||||||||||||||||||||||||||||||||||||||||||||||||||||
| 1. 改良b値による岩盤の破壊評価 | ||||||||||||||||||||||||||||||||||||||||||||||||||||||||||||||||||||||||||||||||||||||||||
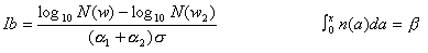
| 地震の大きさとその頻度分布より導かれるGutenbergとRichterが定義したb値2)は、AEにおいては茂木、Sholzが岩石のAEに適用したのが最初である。その物理的な意味は大津3)が速度過程(レートプロセス)のレートとして説明している。このb値算出における定量化と定性化を図ったものが改良b値で、センサ設置条件やAE発生源などに左右される振幅値の変動に影響を受けにくい。 今、振幅値がμ-α2σ以上のAE累積数をN(w1)、μ+α1σ以上のAE累積数をN(w2)とする。この時の振幅の範囲は(α1+α2)σとなるので改良b値Ibは | ||||||||||||||||||||||||||||||||||||||||||||||||||||||||||||||||||||||||||||||||||||||||||
|  | ||||||||||||||||||||||||||||||||||||||||||||||||||||||||||||||||||||||||||||||||||||||||||
| ここでβは算出時の振幅個数である。改良b値はdB振幅値を用いて算出するので、地震学におけるb値と比較する場合、その値を20倍する必要がある。 | ||||||||||||||||||||||||||||||||||||||||||||||||||||||||||||||||||||||||||||||||||||||||||
| 2. 岩盤破壊評価の実際 | ||||||||||||||||||||||||||||||||||||||||||||||||||||||||||||||||||||||||||||||||||||||||||
| 2.1 環境ノイズの影響 例えば、降雨が岩盤を直撃すると衝撃によりAEが発生し、また、太陽光が岩盤を照射する時、岩盤の体積膨張や収縮にともなうマイクロクラックの発生などによりAEが発生する場合がある。これらの気象条件に起因するAEの発生は計測上避けることができず、岩盤の破壊と区別する必要がある。 上記のような状況により発生したAEの改良b値を測定すると、最大0.11程度である。後述する岩盤破壊による改良b値はこれを大きく超え、0.18程度まで上昇する。したがって、改良b値が0.11以上に上昇した場合、岩盤内部のクリティカルな破壊状態を示す指標と考えれば良い。 2.2 岩盤破壊時のAEの特徴 図に岩盤は破壊時に観察されたAEの累積発生数と改良b値の変化を示す。改良b値が最大0.18まで上昇しているのが分かる。同様に正常な岩盤で測定した結果をbに示す。AEの発生は観察されるが、改良b値は0.11程度である。なお、本試験中に雨が降り、この改良b値の値は上述の雨によって発生したAEを反映したものと考えられる。 | ||||||||||||||||||||||||||||||||||||||||||||||||||||||||||||||||||||||||||||||||||||||||||
|  |  | |||||||||||||||||||||||||||||||||||||||||||||||||||||||||||||||||||||||||||||||||||||||||
| a)岩盤破壊時のAE挙動 | b)正常時のAE挙動 | |||||||||||||||||||||||||||||||||||||||||||||||||||||||||||||||||||||||||||||||||||||||||
| 参考文献: 1) 塩谷智其他;AE改良b値による岩盤斜面の破壊評価、第12回AE総合コンファレンス論文集、179、1999年 2) Gutenberg.B and C.R.Richter,;"Seimicity of the Earth",Princeton Univercity Press,1949. 3)大津政康;コンクリート材料におけるAE特性とその派生紀行に関する基礎的研究、京都大学学位論文、1982 | ||||||||||||||||||||||||||||||||||||||||||||||||||||||||||||||||||||||||||||||||||||||||||
| ◆ 土砂斜面への適用 | ||||||||||||||||||||||||||||||||||||||||||||||||||||||||||||||||||||||||||||||||||||||||||
| がけ崩れ災害の70%以上は土砂斜面の崩壊であり、これら土砂斜面のモニタリング技術の確立は、斜面災害の軽減にとって重要である。AE法は、土砂斜面のモニタリング技術の一つとして注目されている。 AEは物体内のひずみの解放により放出される弾性波動であり、斜面のモニタリングに用いるためにはAE信号をなんらかのパラメータに置換える必要がある。一般的なパラメータとしては単位時間あたりのAE発生数などがあるが、より精度の高いモニタリングを行うために、改良b値などの2次パラメータを用いることが考えられる。さらに、岩盤内部で発生する可聴音レベルの弾性波をセンサで検知し、スピーカで再生する方法も利用されている。 また、複数のAEセンさを用いて斜面崩壊の発生位置や規模を推定する方法が提案されているほか、各種解析・評価技術を用いた斜面崩壊の発生時刻の予測方法も検討されている。 | ||||||||||||||||||||||||||||||||||||||||||||||||||||||||||||||||||||||||||||||||||||||||||
|  |  | |||||||||||||||||||||||||||||||||||||||||||||||||||||||||||||||||||||||||||||||||||||||||
| 土砂斜面の崩壊試験 | 落石前の改良b値計測例(日光市) | |||||||||||||||||||||||||||||||||||||||||||||||||||||||||||||||||||||||||||||||||||||||||
|  | 
| Copyright © 2022 mateken.co.jp |